Oggi è venerdì 20 febbraio 2026, 19:42

Tutti gli orari sono UTC + 1 ora [ ora legale ]




Apri un nuovo argomento Rispondi all’argomento  [ 11 messaggi ] 
Autore Messaggio
 Oggetto del messaggio: Piano stazione
MessaggioInviato: domenica 6 agosto 2023, 10:53 
Non connesso

Iscritto il: venerdì 19 luglio 2013, 12:25
Messaggi: 147
Località: Carate Brianza
Buongiorno a tutti,
sto iniziando a progettare il nuovo plastico e ho qualche dubbio riguardante il piazzale della stazione principale.
Per evitare di fare errori in fase di progetto gradirei molto i vostri consigli a riguardo.
Nell'immagine il primo binario dall'alto è relativo ad una linea secondaria che si dirama dalla linea principale; l'incrocio di mezzo serve il collegamento con la rimessa locomotive.
Il tutto dovrebbe essere ambientato in epoca IV.
Grazie

Luigi


Allegati:
PianoStazione.jpg
PianoStazione.jpg [ 85.04 KiB | Osservato 4147 volte ]
Top
 Profilo  
 
 Oggetto del messaggio: Re: Piano stazione
MessaggioInviato: domenica 6 agosto 2023, 12:05 
Non connesso

Iscritto il: lunedì 16 gennaio 2006, 18:19
Messaggi: 474
Località: Venezia
Buongiorno,
Un primo veloce suggerimento al volo: sul primo binario in alto a sinistra metti un'altra comunicazione in modo che un treno in arrivo possa andare anche sul binario attiguo e viceversa. Altrimenti con un treno in sosta sul binario in alto avresti la secondaria "bloccata".
Poi, la radice della stazione a sinistra è un po' troppo intricata e per andare al deposito (se ho capito bene) passeresti per il binario di corsa... Cerca di separare i due flussi attaccando il deposito a un binario secondario.
Saluti
Michele


Top
 Profilo  
 
 Oggetto del messaggio: Re: Piano stazione
MessaggioInviato: domenica 6 agosto 2023, 14:58 
Non connesso

Nome: Giovanni
Iscritto il: mercoledì 31 agosto 2022, 20:21
Messaggi: 116
Buonasera,
il piano di stazione è interessante e consente parecchio movimento. Mi permetto due suggerimenti veloci:

-)introdurre una comunicazione a forbice per permettere la ricezione dei treni almeno su due binari differenti
-) introdurre uno scambio inglese nella posizione indicata per permettre la manovra senza interessare i binari di ricezione e di corsa

Spero che lo schema sia abbastanza chiaro.

Per il resto, noto che ci sono vari deviatoi inglesi sui binari di corretto tracciato: nella realtà , non solo recente, si cerca sempre di evitarli quando possibile. Se non lo è (come ad esempio nel caso dei piazzali ristretti) si possono avere delle limitazioni di velocità (es 160km/h per il rango C).

Buon divertimento!


Allegati:
PianoStazione 1.jpg
PianoStazione 1.jpg [ 67.86 KiB | Osservato 4069 volte ]
Top
 Profilo  
 
 Oggetto del messaggio: Re: Piano stazione
MessaggioInviato: domenica 6 agosto 2023, 16:17 
Non connesso

Iscritto il: mercoledì 20 settembre 2006, 20:44
Messaggi: 6383
Località: Sorbolo di Sorbolo Mezzani (PR)
Se vuoi riprodurre i tipi plastici proposti dalle ditte produttrici del secolo scorso ci siamo.
Se vuoi riprodurre una situazione realistica di una stazione di quelle dimensioni: no!

Quello che salta subito all'occhio:
- manca scalo merci con magazzino in posizione comoda
- mancano aste di manovra, quindi quasi tutte le manovre devono impegnare la linea principale
- tanti binari e scambi in poco spazio non realistico.


Top
 Profilo  
 
 Oggetto del messaggio: Re: Piano stazione
MessaggioInviato: lunedì 7 agosto 2023, 6:37 
Non connesso

Iscritto il: giovedì 12 gennaio 2006, 13:12
Messaggi: 437
Località: Martignacco UD
Non capisco una cosa: la linea principale è a binario unico o doppio?
Nel primo caso potrebbe andare bene, ma se fosse a doppio binario dovresti prevedere i due binari di corretto tracciato con comunicazioni in entrata ed uscita in modo che i flussi siano indipendenti.
Suggerisco di provare ad immaginare tutti i possibili movimenti dei convogli, valutando quali situazioni potrebbero creare impedimenti alla circolazione di altri treni.
Semplificando, una stazione serve per togliere dalla linea principale i treni più lenti per permettere ai più veloci di transitare. (Ripeto SEMPLIFICANDO)
Quindi devi avere un transito libero sui due binari principali, senza interferenze per eventuali manovre.
Hai provato ad osservare i piani binari di alcune stazioni per trovare quello che si avvicina di più ai tuoi desideri?


Top
 Profilo  
 
 Oggetto del messaggio: Re: Piano stazione
MessaggioInviato: lunedì 7 agosto 2023, 9:24 
Non connesso

Iscritto il: venerdì 19 luglio 2013, 12:25
Messaggi: 147
Località: Carate Brianza
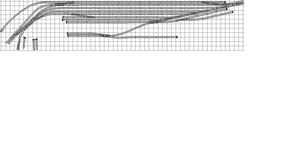
Ho rivisto il tracciato cercando di semplificare dove possibile.
Ora i binari di corretto tracciato sono separati dal resto e l'accesso al deposito non interferisce con i binari di corsa.


Allegati:
PianoStazione.jpg
PianoStazione.jpg [ 198.92 KiB | Osservato 3747 volte ]
Top
 Profilo  
 
 Oggetto del messaggio: Re: Piano stazione
MessaggioInviato: lunedì 7 agosto 2023, 13:31 
Non connesso

Iscritto il: lunedì 16 gennaio 2006, 18:19
Messaggi: 474
Località: Venezia
Buongiorno,
Sicuramente meglio, manca ancora lo scambio per fare arrivare un treno dalla linea diramata sul secondo binario e viceversa.
Saluti
Michele


Top
 Profilo  
 
 Oggetto del messaggio: Re: Piano stazione
MessaggioInviato: lunedì 7 agosto 2023, 14:11 
Non connesso

Iscritto il: mercoledì 20 settembre 2006, 20:44
Messaggi: 6383
Località: Sorbolo di Sorbolo Mezzani (PR)
Quello che non va, specialmente nel lato destro, è che per accedere in manovra ai binari di scalo dai binari 1-5 (1 in alto) devi sempre passare dai binari di linea, poi quello che anche altri ti hanno segnalto.


Top
 Profilo  
 
 Oggetto del messaggio: Re: Piano stazione
MessaggioInviato: lunedì 7 agosto 2023, 16:58 
Non connesso

Iscritto il: venerdì 19 luglio 2013, 12:25
Messaggi: 147
Località: Carate Brianza
DEP.SV ha scritto:
Buongiorno,
Sicuramente meglio, manca ancora lo scambio per fare arrivare un treno dalla linea diramata sul secondo binario e viceversa.
Saluti
Michele


Il primo binario è una linea secondaria a trazione termica; un convoglio che arriva da sinistra e deve proseguire sul secondo binario può farlo utilizzando il deviatoio a destra che lo immette sul binario di corsa, stessa cosa per un convoglio che arriva dalla linea principale utilizza il deviatoio a fianco dell'inglese per immettersi sulla linea secondaria. Essendo una linea secondaria (a trazione termica) preferirei se possibile non avere un'intersezione diretta.

marco_58 ha scritto:
Quello che non va, specialmente nel lato destro, è che per accedere in manovra ai binari di scalo dai binari 1-5 (1 in alto) devi sempre passare dai binari di linea, poi quello che anche altri ti hanno segnalto.

Non ho idea di come potrei fare per realizzare un passaggio dai binari da 1 a 5 al binari di scalo senza passare dai binari di linea.


Top
 Profilo  
 
 Oggetto del messaggio: Re: Piano stazione
MessaggioInviato: lunedì 7 agosto 2023, 20:03 
Non connesso

Iscritto il: lunedì 16 gennaio 2006, 18:19
Messaggi: 474
Località: Venezia
Buonasera
Premesso che il plastico è tuo e che deve piacere a te e che ci sono eccezioni e casi particolari di tutti i tipi, se vuoi un parere tecnico su una stazione "normale" i suggerimenti sono quelli già indicati:
Di solito una stazione non ha un solo binario da cui partire verso una linea diramata, per quanto secondaria... Con un solo binario gli incroci in stazione sarebbero impossibili, in quanto un treno in sosta sul primo binario ti "chiude" tutta la linea!
Poi, visto che i binari di corsa sembrano il 2 e il 4, sul prolungamento del 5 lato destro, mettendo un inglese e allontanando un po' la fabbrica ci starebbe un'asta di manovra.
Saluti
Michele


Top
 Profilo  
 
 Oggetto del messaggio: Re: Piano stazione
MessaggioInviato: lunedì 7 agosto 2023, 20:18 
Non connesso

Iscritto il: mercoledì 20 settembre 2006, 20:44
Messaggi: 6383
Località: Sorbolo di Sorbolo Mezzani (PR)
gigi53 ha scritto:
...
Non ho idea di come potrei fare per realizzare un passaggio dai binari da 1 a 5 al binari di scalo senza passare dai binari di linea.


Vai a questo link e scarica il file
https://www.dropbox.com/scl/fi/z9qfaz0b ... phlgi&dl=0
trovi qualche esempio di stazione reale e inventata appunto per dei plastici.
Poi se hai un cad e riesci ad aprire i file .dwg sono disponibili gli originali.


Top
 Profilo  
 
Visualizza ultimi messaggi:  Ordina per  
Apri un nuovo argomento Rispondi all’argomento  [ 11 messaggi ] 

Tutti gli orari sono UTC + 1 ora [ ora legale ]


Chi c’è in linea

Visitano il forum: Nessuno e 20 ospiti


Non puoi aprire nuovi argomenti
Non puoi rispondere negli argomenti
Non puoi modificare i tuoi messaggi
Non puoi cancellare i tuoi messaggi
Non puoi inviare allegati

Cerca per:
Vai a:  
banner_piko

Duegi Editrice - Via Stazione 10, 35031 Abano Terme (PD). Italy - Tel. 049.711.363 - Fax 049.862.60.77 - duegi@duegieditrice.it - shop@duegieditrice.it
Direttore editoriale: Luigi Cantamessa - Amministratore unico: Federico Mogioni - Direttore responsabile: Pietro Fattori.
Registro Operatori della Comunicazione n° 37957. Partita iva IT 05448560283 Tutti i diritti riservati Duegi Editrice Srl